找回密碼
 註冊
查看: 37|回覆: 3

[其他] 中國大學團隊研究發現,身高原來同死亡率有關

[複製鏈接]
發表於 2024-6-3 11:24:14 | 顯示全部樓層 |閱讀模式
身高,這個人們日常中常常提及的身體特徵,實則與我們的健康狀況和預期壽命之間交織著複雜的聯繫。

長久以來,高個子往往被視作健康與活力的代名詞,然而,最新的科研發現卻為我們揭示了其中更為細緻而微妙的聯繫。

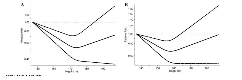
在《European Journal of Public Health》期刊上,中國鄭州大學、深圳大學等研究團隊共同發佈了一項研究。他們深入探索了身高與全因死亡率之間的關係,併發現這兩者之間並非簡單的直線關係,而是呈現出一種U型曲線的模式。

為了獲得這一發現,研究團隊從多個數據庫中篩選出與成人身高和全因死亡率相關的隊列研究,並運用專業的評估工具對研究質素進行了嚴格把關。最終,他們篩選出15篇符合標準的文章,這些文章共涵蓋了超過 2185萬的參與者及 15.3萬例死亡案例。

研究結果顯示,身高與全因死亡率之間呈現出一個獨特的U型關聯模式。也就是說,存在一個特定的身高範圍,在這個範圍內,人們的死亡風險相對較低。

對於男性來說,這個「黃金身高」大約是 174cm;而對於女性,則是 158cm。處於這一身高範圍內的男性和女性,其全因死亡風險分別可降低至 47% 和 33%。

過去的研究多關注身高與特定疾病或人群的聯繫,如心房顫動、靜脈曲張乃至癌症風險。然而,這些研究往往缺乏對身高與整體死亡率之間關係的全面理解。

這項研究的重要性在於,它為我們提供了一個全新的視角來審視身高與死亡率之間的關係,並充分考慮了性別差異的影響。雖然遺傳因素在身高上扮演了主要角色,但這一發現也暗示了早期營養和環境因素可能對人們的健康和壽命產生長遠影響。

隨著科研的深入,我們期夠進一步揭示影響身高和壽命的更多複雜因素。
1.jpg
2.jpg
3.jpg

評分

參與人數 1魄力 +5 +50 魅力 +5 黃金 0 收起 理由
LasCases + 5 + 50 + 5 0 🥇 同意兄弟高見!小弟給力支持!

查看全部評分

發表於 2024-6-3 18:31:56 | 顯示全部樓層
係咪㗎?
原諒我這一生不羈放縱.....愛田由
沿途快樂田由陪伴我。
回覆 讚好 不讚 使用道具

舉報

814

主題

1萬

回帖

2萬

積分

超級元老

積分
29367
發表於 2024-6-3 20:23:15 | 顯示全部樓層
on鳩
回覆 讚好 不讚 使用道具

舉報

發表於 2024-6-4 01:23:43 | 顯示全部樓層
堅定流㗎?!
睇靚女索女幾時都得閒
回覆 讚好 不讚 使用道具

舉報

您需要登錄後才可以回帖 登錄 | 註冊

本版積分規則

Archiver|聯絡我們|141華人社區

GMT+8, 2026-4-22 18:01

Powered by Discuz! X3.5

© 2001-2026 Discuz! Team.

快速回覆 返回頂部 返回列表