找回密碼
 註冊
查看: 727|回覆: 4

[新聞時事] 1945年8月15日大日本帝國宣布無條件投降

  [複製鏈接]
簽到
1057

1189

主題

7143

回帖

100

積分

初級會員

積分
100

論譠元老勳章「友誼大使」勳章

發表於 2014-8-15 06:36:06 | 顯示全部樓層 |閱讀模式
本帖最後由 sadsam169 於 2014-8-15 03:40 編輯

日本投降指1945年8月15日大日本帝國宣布無條件投降,且於同年9月2日舉行投降儀式並正式簽字投降,自此第二次世界大戰宣告結束。1945年7月,日本海軍實際上已無法繼續執行作戰任務,同時同盟國也不斷實施東京大轟炸並開始策劃入侵日本的沒落行動。雖然以軍事參議官會議為首的日本政府公開表示仍打算繼續堅持與同盟國作戰,然而日本高層也開始私下拜託保持中立國立場的蘇聯就和平一事進行談判,期望能盡可能爭取日本和平投降後仍處於有利的談判地位。但與此同時,蘇聯則依據其在德黑蘭會議和雅爾塔會議中與美國及英國所做的承諾,開始準備計畫攻擊日本於海外佈署的部隊。

1945年8月6日與8月9日,美軍分別在廣島市和長崎市投下原子彈。另一方面蘇聯則在8月8日傍晚決定單方面廢止《日蘇中立條約》,並且根據《雅爾達協定》的約定準備展開八月風暴行動。1945年8月9日午夜過後,已經向日本宣戰的蘇聯軍隊迅速入侵日本的殖民地關東州、以及掌管滿洲地區的傀儡政權滿洲國等。這兩項衝擊造成在8月14日時,昭和天皇決定要求軍事參議官會議接受美國、英國、中國與蘇聯在《波茨坦公告》中所訂下的停戰協定,並且透過駐瑞士和瑞典的大使館來向盟軍發放消息。在經過多次幕後談判以及未遂政變後,昭和天皇在8月15日日本標準時間中午12時向日本全國以錄音廣播的方式發表《終戰詔書》,宣布日本政府決定遵從同盟國集團的無條件投降之要求[1]。

8月28日,駐日盟軍總司令開始接管政權且佔領日本,隨後同盟國集團便開始展開一系列戰後改革計畫,其中在1947年5月3日時公布新的《日本國憲法》。9月2日上午10時,包括日本、美國、中國、蘇聯、英國、澳洲、加拿大、法蘭西共和國臨時政府、荷蘭和紐西蘭代表在停靠於東京灣的美國軍艦密蘇里號戰艦上舉辦投降儀式,日本政府官員於此簽署《降伏文書》,正式結束第二次世界大戰中雙方的軍事行動。而在第二次世界大戰結束後,同盟國平民和部隊開始慶祝第二次世界大戰對日戰爭勝利紀念日[2][3]。然而一些仍於亞洲和太平洋島嶼上獨自作戰的日本指揮官和軍事人員則仍繼續堅持作戰,甚至一直到1970年代為止最後幾名士兵在得知戰爭結束的消息後才宣布投降。而自從日本宣布投降後,歷史學家也開始辯論針對平民投下原子彈的倫理道德問題。不過日本和西方同盟國則是在1952年4月28日時,由包括日本在內的48個國家一同簽署《舊金山和約》並生效後,才正式從法律層面上結束彼此的戰爭關係;與此同時日本也結束長達7年的同盟國之軍事佔領狀態,重新恢復日本的主權行使能力。而到了1956年時,日本政府才另外與蘇聯簽訂《日蘇共同宣言》結束兩國的戰爭狀態。
[color=Royal民主是個過程,它不是速溶咖啡,可以泡了就喝。
民主是多棒接力賽,關鍵是走好自己這一棒就行了。

1189

主題

7143

回帖

100

積分

初級會員

積分
100

論譠元老勳章「友誼大使」勳章

 樓主| 發表於 2014-8-15 06:39:28 | 顯示全部樓層
更不要忘記 八一四中国空軍節

1937年抗日戰爭爆發時,日本可用於中國方面作戰的海軍航空隊、陸軍航空隊的各種飛機大約是800多架,而當時國民政府空軍能作戰的飛機約有300架。而且日本擁有飛機生產的工業,而國民政府的空軍所有裝備卻完全依賴進口或外援,因此,日本空軍不但在數量、質量上佔據優勢,且還擁有戰時消耗後可自行得到補充的絕對優勢。但即使如此,當時的中國空軍仍然是和小日本頑強激戰,血拼到底,並取得過輝煌戰績。

1937年8月13日,日本對上海發動攻擊,凇滬戰事爆發。 8月14日,高志航大隊長等飛行員,協助滬上守備部隊,抗擊日寇,中國空軍首次參戰。他們從中國空軍的誕生地——浙江杭州的筧橋機場起飛,直飛上海參加戰鬥,當天就取得擊落日機6架、擊傷1架,而我方零傷亡的輝煌戰果,為此,日軍梅津航空隊隊長憤(羞愧!呵呵,活該!)而剖腹自殺。當時的國民政府為紀念這首次空戰的勝利,也為了進一步激勵前線的士兵們英勇抗擊日寇,鼓舞全國人民的抗戰熱情,故將這一天定為“空軍節”。
[color=Royal民主是個過程,它不是速溶咖啡,可以泡了就喝。
民主是多棒接力賽,關鍵是走好自己這一棒就行了。
回覆 讚好 不讚 使用道具

舉報

413

主題

3萬

回帖

7萬

積分

超級元老

積分
79154

論譠元老勳章高級元老勳章百萬富翁勳章超級元老勳章

發表於 2014-8-15 10:44:08 | 顯示全部樓層
“空軍節” 請問 Ching 係左定右?
回覆 讚好 不讚 使用道具

舉報

發表於 2014-8-15 14:31:45 | 顯示全部樓層
本帖最後由 沈陽海哥 於 2014-8-15 17:33 編輯

1945年9月2日同盟國正式舉辦投降典禮,大日本帝國代表團共11人登上停泊於東京灣的美國
"密蘇里號" 戰艦,並且於當天9時在戰艦甲板上簽署《降伏文書》表示願意無條件投降。

整個投降典禮透過電視頻道在世界各地播出,首先由外務大臣重光癸代表日本政府以及日本天皇、
大日本帝國陸軍總參謀長暨關東軍總司令梅津美治郎將軍則代表大本營簽署和平條約。

中華民國 徐永昌(Hsu Yung-chang) 陸軍上將 代表中國 在 "密蘇里號戰艦 USS Missouri BB-63  (BB-63)"
戰艦參加見證受降儀式 和 簽字儀式。

之後則由西南太平洋戰區的盟軍最高司令官暨駐日盟軍總司令道格拉斯·麥克阿瑟上將跟進簽署條約內容,
並且由分別曾在菲律賓與新加坡成為戰俘的美軍中將強納森·溫萊特( Jonathan M. Wainwright)和
英軍中將白思華作為見證人。

之後則分別由美國代表切斯特·威廉·尼米茲上將、中華民國代表徐永昌陸軍上將、英國代表布魯斯·弗雷瑟(Bruce Fraser)元帥、
蘇聯代表庫茲馬·傑列維揚科(Kuzma Derevyanko)中將、澳洲代表托馬斯·布列梅(Thomas Blamey)元帥、
加拿大代表勞倫斯·摩爾·柯斯葛列夫(Lawrence Moore Cosgrave)上校、法國代表菲利普·勒克萊爾上將、
荷蘭代表康拉德·埃米爾·蘭伯特·赫爾弗里希(Conrad Emil Lambert Helfrich)將軍 以及
紐西蘭代表里安納·蒙克·伊希特(Leonard Monk Isitt)準元帥順序來簽字,自此第二次世界大戰的正式宣告結束。

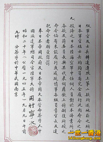
中國民國 陸軍總司令 何應欽 (一級上將) 作為中國全權代表由芷江飛南京,1945年9月9日上午9時,
代表中國最高統帥,主持中國戰區日本投降簽字典禮。

侵華日軍總司令岡村寧次在南京向中華民國政府陸軍總司令 何應欽上將 呈交投降書。

以上影片乃youtube提供,與本站無關; 若無法觀看,可查看原網址




以上影片乃youtube提供,與本站無關; 若無法觀看,可查看原網址


以上影片乃youtube提供,與本站無關; 若無法觀看,可查看原網址


以上影片乃youtube提供,與本站無關; 若無法觀看,可查看原網址


以上影片乃youtube提供,與本站無關; 若無法觀看,可查看原網址


以上影片乃youtube提供,與本站無關; 若無法觀看,可查看原網址


以上影片乃youtube提供,與本站無關; 若無法觀看,可查看原網址


......................................................................................................................

抗日戰爭期間,世界各地華人華僑為中華民國抗戰捐款已超過13億美元。

美國共向中國提供了超過8億美元的援助,是二戰期間中國最大的援助國。

美國開闢中印空運之初﹐僅供給美國14航空隊之需要,直到1944年春季之後,方始運中華民國作戰物資,
至於美國對我國中華民國之援助,空軍方面而獲有數百架飛機及配件和油料,陸軍則獲得29個師輕裝備,
其價值約為超過8億美元。

美國第14航空隊與中國空軍混合聯隊 與獲得美援的中華民國空軍取回了中國戰場制空權,
共擊落日本戰機2,600架,支援中國抗戰。


徐永昌上將 (退役陸軍一級上將) 在1959年7月12日 台北市積勞病故,享壽72歲


更多圖片 小圖 大圖
組圖打開中,請稍候......
回覆 讚好 不讚 使用道具

舉報

675

主題

4160

回帖

9610

積分

高級元老

四台之后,誰與比矣?

積分
9610

「創作大師」勳章「痴線佬」勳章論譠元老勳章高級元老勳章超級元老勳章傑出成就勳章

發表於 2014-8-15 15:45:16 用手機發表 | 顯示全部樓層
日軍罪行,永誌不忘
回覆 讚好 不讚 使用道具

舉報

您需要登錄後才可以回帖 登錄 | 註冊

本版積分規則

Archiver|聯絡我們|141華人社區

GMT+8, 2025-11-14 09:00

Powered by Discuz! X3.5

© 2001-2025 Discuz! Team.

快速回覆 返回頂部 返回列表